기초과학연구원(IBS) 조문호 반데르발스 양자물질연구단장 연구팀이 양자 소자급 품질의 초고순도 2차원 반도체를 웨이퍼 크기 수준으로 대면적 합성하는 데 세계 최초로 성공했다.
이번 성과는 차세대 초고성능 반도체 집적회로와 신개념 양자 소자 개발을 가능하게 하는 핵심 기반 기술로 평가된다.
단결정 2차원 반도체, 대면적 합성 난제 풀다
2차원 반도체는 종이처럼 얇은 원자 한 층만으로 이뤄진 반데르발스 물질로, 두께가 너무 얇아 전자가 이동할 때 양자 효과가 강하게 나타나 차세대 반도체 소재로 주목받고 있다.
그러나 크게 만들수록 품질이 급격히 떨어진다는 문제가 있다. 이는 결정이 여러 방향으로 성장하며 경계 결함이 생기고, 원자 배열이 흐트러지기 때문이다.
연구팀은 이를 해결하기 위해 특수 가공한 ‘비스듬한 사파이어 기판’을 사용했다.
사파이어를 15도 정도 기울여 자르면, 표면에 1㎚(나노미터)도 안 되는 간격으로 계단이 무한히 이어진 구조가 생긴다.
이 계단 모서리가 핵생성 지점이 돼 결정이 한 방향으로만 자라도록 강제할 수 있다.
연구팀은 이 기판 위에서 이황화몰리브덴(MoS₂) 반도체를 성장시켜 경계 결함이 전혀 없는 단결정 박막을 대면적으로 형성했다.
이는 계단 모서리에서만 결정이 자라 매끄럽게 이어지기 때문에 가능하다.
연구팀은 합성한 박막을 원자 하나하나까지 구분할 수 있는 투과전자현미경(TEM)으로 검증했다.
TEM 분석 결과 연구팀의 박막은 경계 결함뿐 아니라 점 결함까지 최소화한 최고 수준의 단결정 품질을 갖춘 것으로 나타났다.
이런 품질을 바탕으로 합성한 박막 전자소자는 기존 방식으로 만든 MoS₂ 소자보다 트랜지스터 성능이 전반적으로 우수했다.
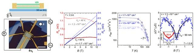
또 연구팀이 박막을 극저온 상태에서 측정해 전자가 결함과 열의 방해를 거의 받지 않는 환경을 만든 결과 전자가 매우 높은 이동도를 보였다.
여기에 자기장을 가하자 전자의 에너지 준위가 양자화되면서 저항이 주기적으로 변하는 ‘양자 진동’이 나타났다.
대면적 2차원 반도체에서 양자 수송 현상을 관찰한 것은 이번이 최초다.
양자 진동은 결정 품질이 매우 높고 전자의 이동 경로가 깨끗해야만 관찰되는 현상이다.
이번 연구는 대면적 에피택시 성장으로 양자 등급의 2차원 반데르발스 물질을 구현할 수 있음을 세계 최초로 증명한 성과다.
이는 초고밀도 반도체 집적회로와 양자 소자 연구의 기반이 되고, 향후 원자층 기반 초격자·양자 우물 구조 등 더 복잡한 양자 구조체 개발로 이어질 전망이다.
조 단장은 “이번 연구는 웨이퍼 규모 2차원 양자 전자 시스템을 구현한 성과로, 차세대 반도체 및 양자 소자의 다양한 후속 연구로 확장될 것”이라고 말했다.
한편, 이번 연구성과는 27일 국제학술지 ‘네이처 일렉트로닉스(Nature Electronics, IF 40.9)’에 게재됐다.
(논문명: Quantum-grade transition-metal dichalcogenide monolayer semiconductors in wafer scales by vicinal van der Waals epitaxy)







